Skip to content Skip to sidebar Skip to footer

Bunyi Huruf Vokal Jawi / Huruf Vokal Jawi Awal Perkataan Sumber Pengajaran

Huruf vokal alif dikekalkan sebagai lambang bunyi apabila mengeja kata dasar ekasuku . Play this game to review education. Mari kita lihat contoh perkataan bagi bunyi vokal tersebut… ‫ﺍ‬ e ‫ﺍﻭ‬ ‫ﺍﻱ‬ suaikan huruf vokal . Pada tabel 1, jawi memiliki 5 bunyi vokal yang mengadopsi 3 . Padankan bunyi huruf vokal dgn gambar.

Play this game to review education. Pdf Inovasi Huruf Baharu Mewakili Vokal E Dalam Sistem Tulisan Jawi
Pdf Inovasi Huruf Baharu Mewakili Vokal E Dalam Sistem Tulisan Jawi from i1.rgstatic.net
‫ﺍ‬ u ‫ﺍﻭ‬ ‫ﺍﻱ‬ suaikan huruf vokal jawi dan rumi yang mempunyai bunyi yang sama. Mewakili bunyi huruf vokal dan konsonan. Tulisan jawi menggunakan 29 aksara yg diambil drpd ba kecuali aksara hamzah (ء). Bunyi huruf vokal "e" dalam tulisan rumi dan diperkenalkan untuk. Garis duduk sesuatu huruf jawi membantu kita menulis, membentuk dan.

Play this game to review education.

Pada tabel 1, jawi memiliki 5 bunyi vokal yang mengadopsi 3 . Tulisan jawi menggunakan 29 aksara yg diambil drpd ba kecuali aksara hamzah (ء). Play this game to review education. Diterima pakai secara rasmi oleh masyarakat. Padankan bunyi huruf vokal dgn gambar. Huruf vokal jawi (prasekolah) pelajaran jawi prasekolah. Bunyi huruf vokal "e" dalam tulisan rumi dan diperkenalkan untuk. Tahun 1988 yang memuatkan perkataan umum dan istilah bahasa melayu dalam ejaan rumi dengan padanan ejaan jawi. ‫ﺍ‬ u ‫ﺍﻭ‬ ‫ﺍﻱ‬ suaikan huruf vokal jawi dan rumi yang mempunyai bunyi yang sama. Mari kita lihat contoh perkataan bagi bunyi vokal tersebut… Sehingga sebagian kata hurufnya menggunakan huruf berdasarkan kata arab sedangkan yang lainnya acak. Huruf vokal alif dikekalkan sebagai lambang bunyi apabila mengeja kata dasar ekasuku . ‫ﺍ‬ e ‫ﺍﻭ‬ ‫ﺍﻱ‬ suaikan huruf vokal . Mewakili bunyi huruf vokal dan konsonan. Pilih perkataan yang dimulai dengan bunyi vokal (i) ڤيليه ڤركاتأن يڠ دمولاكن دڠن بوڽي ۏوكل حوروف (i)

Mewakili bunyi huruf vokal dan konsonan. Kalau huruf vokal dalam tulisan rumi ada 5, dalam jawi hanya 3 sahaja ا, و , ي huruf yang lain kita panggil konsonan. ‫ﺍ‬ u ‫ﺍﻭ‬ ‫ﺍﻱ‬ suaikan huruf vokal jawi dan rumi yang mempunyai bunyi yang sama. Play this game to review education. Sehingga sebagian kata hurufnya menggunakan huruf berdasarkan kata arab sedangkan yang lainnya acak.

Mari kita lihat contoh perkataan bagi bunyi vokal tersebut… Mari Belajar Jawi 2
Mari Belajar Jawi 2 from image.slidesharecdn.com
Diterima pakai secara rasmi oleh masyarakat. Bunyi huruf vokal "e" dalam tulisan rumi dan diperkenalkan untuk. ‫ﺍ‬ u ‫ﺍﻭ‬ ‫ﺍﻱ‬ suaikan huruf vokal jawi dan rumi yang mempunyai bunyi yang sama. Huruf vokal jawi (prasekolah) pelajaran jawi prasekolah. Play this game to review education. Garis duduk sesuatu huruf jawi membantu kita menulis, membentuk dan. Sehingga sebagian kata hurufnya menggunakan huruf berdasarkan kata arab sedangkan yang lainnya acak. Kalau huruf vokal dalam tulisan rumi ada 5, dalam jawi hanya 3 sahaja ا, و , ي huruf yang lain kita panggil konsonan. Kemudian terdapat beberapa aksara ditambah kpd aksara arab kerana bunyi bm .

Pilih perkataan yang dimulai dengan bunyi vokal (i) ڤيليه ڤركاتأن يڠ دمولاكن دڠن بوڽي ۏوكل حوروف (i)

Sehingga sebagian kata hurufnya menggunakan huruf berdasarkan kata arab sedangkan yang lainnya acak. ‫ﺍ‬ u ‫ﺍﻭ‬ ‫ﺍﻱ‬ suaikan huruf vokal jawi dan rumi yang mempunyai bunyi yang sama. Mewakili bunyi huruf vokal dan konsonan. Pada tabel 1, jawi memiliki 5 bunyi vokal yang mengadopsi 3 . Mari kita lihat contoh perkataan bagi bunyi vokal tersebut… Diterima pakai secara rasmi oleh masyarakat. Tulisan jawi menggunakan 29 aksara yg diambil drpd ba kecuali aksara hamzah (ء). Play this game to review education. ‫ﺍ‬ e ‫ﺍﻭ‬ ‫ﺍﻱ‬ suaikan huruf vokal . Tahun 1988 yang memuatkan perkataan umum dan istilah bahasa melayu dalam ejaan rumi dengan padanan ejaan jawi. Huruf vokal alif dikekalkan sebagai lambang bunyi apabila mengeja kata dasar ekasuku .

‫ﺍ‬ e ‫ﺍﻭ‬ ‫ﺍﻱ‬ suaikan huruf vokal . Play this game to review education. Diterima pakai secara rasmi oleh masyarakat. ‫ﺍ‬ u ‫ﺍﻭ‬ ‫ﺍﻱ‬ suaikan huruf vokal jawi dan rumi yang mempunyai bunyi yang sama.

Mari kita lihat contoh perkataan bagi bunyi vokal tersebut… Huruf Vokal Jawi Braydencxt
Huruf Vokal Jawi Braydencxt from lookaside.fbsbx.com
Pada tabel 1, jawi memiliki 5 bunyi vokal yang mengadopsi 3 . Huruf vokal jawi (prasekolah) pelajaran jawi prasekolah. Sehingga sebagian kata hurufnya menggunakan huruf berdasarkan kata arab sedangkan yang lainnya acak. Mewakili bunyi huruf vokal dan konsonan. ‫ﺍ‬ u ‫ﺍﻭ‬ ‫ﺍﻱ‬ suaikan huruf vokal jawi dan rumi yang mempunyai bunyi yang sama. Kemudian terdapat beberapa aksara ditambah kpd aksara arab kerana bunyi bm . Bunyi huruf vokal "e" dalam tulisan rumi dan diperkenalkan untuk. Padankan bunyi huruf vokal dgn gambar. Pilih perkataan yang dimulai dengan bunyi vokal (i) ڤيليه ڤركاتأن يڠ دمولاكن دڠن بوڽي ۏوكل حوروف (i) Diterima pakai secara rasmi oleh masyarakat.

Kemudian terdapat beberapa aksara ditambah kpd aksara arab kerana bunyi bm .

Play this game to review education. Diterima pakai secara rasmi oleh masyarakat. Mari kita lihat contoh perkataan bagi bunyi vokal tersebut… Kalau huruf vokal dalam tulisan rumi ada 5, dalam jawi hanya 3 sahaja ا, و , ي huruf yang lain kita panggil konsonan. Bunyi huruf vokal "e" dalam tulisan rumi dan diperkenalkan untuk. Pada tabel 1, jawi memiliki 5 bunyi vokal yang mengadopsi 3 . Garis duduk sesuatu huruf jawi membantu kita menulis, membentuk dan. Tahun 1988 yang memuatkan perkataan umum dan istilah bahasa melayu dalam ejaan rumi dengan padanan ejaan jawi. Tulisan jawi menggunakan 29 aksara yg diambil drpd ba kecuali aksara hamzah (ء). Huruf vokal alif dikekalkan sebagai lambang bunyi apabila mengeja kata dasar ekasuku . Pilih perkataan yang dimulai dengan bunyi vokal (i) ڤيليه ڤركاتأن يڠ دمولاكن دڠن بوڽي ۏوكل حوروف (i) Sehingga sebagian kata hurufnya menggunakan huruf berdasarkan kata arab sedangkan yang lainnya acak. Huruf vokal jawi (prasekolah) pelajaran jawi prasekolah. ‫ﺍ‬ u ‫ﺍﻭ‬ ‫ﺍﻱ‬ suaikan huruf vokal jawi dan rumi yang mempunyai bunyi yang sama. Padankan bunyi huruf vokal dgn gambar. ‫ﺍ‬ e ‫ﺍﻭ‬ ‫ﺍﻱ‬ suaikan huruf vokal .

Bunyi Huruf Vokal Jawi / Huruf Vokal Jawi Awal Perkataan Sumber Pengajaran. Kemudian terdapat beberapa aksara ditambah kpd aksara arab kerana bunyi bm . Tulisan jawi menggunakan 29 aksara yg diambil drpd ba kecuali aksara hamzah (ء). Pilih perkataan yang dimulai dengan bunyi vokal (i) ڤيليه ڤركاتأن يڠ دمولاكن دڠن بوڽي ۏوكل حوروف (i) ‫ﺍ‬ u ‫ﺍﻭ‬ ‫ﺍﻱ‬ suaikan huruf vokal jawi dan rumi yang mempunyai bunyi yang sama. Garis duduk sesuatu huruf jawi membantu kita menulis, membentuk dan. Huruf vokal alif dikekalkan sebagai lambang bunyi apabila mengeja kata dasar ekasuku . Play this game to review education.

Kalau huruf vokal dalam tulisan rumi ada 5, dalam jawi hanya 3 sahaja ا, و , ي huruf yang lain kita panggil konsonan huruf vokal jawi. Diterima pakai secara rasmi oleh masyarakat.

Sehingga sebagian kata hurufnya menggunakan huruf berdasarkan kata arab sedangkan yang lainnya acak. Huruf Vokal Jawi Dan Bunyi Vokal Jawi Tahun 1 Youtube

Huruf vokal jawi (prasekolah) pelajaran jawi prasekolah. Garis duduk sesuatu huruf jawi membantu kita menulis, membentuk dan. Play this game to review education. Padankan bunyi huruf vokal dgn gambar.

Mari kita lihat contoh perkataan bagi bunyi vokal tersebut… کلب توليسن جاوي

Tahun 1988 yang memuatkan perkataan umum dan istilah bahasa melayu dalam ejaan rumi dengan padanan ejaan jawi. ‫ﺍ‬ e ‫ﺍﻭ‬ ‫ﺍﻱ‬ suaikan huruf vokal . Bunyi huruf vokal "e" dalam tulisan rumi dan diperkenalkan untuk. Kalau huruf vokal dalam tulisan rumi ada 5, dalam jawi hanya 3 sahaja ا, و , ي huruf yang lain kita panggil konsonan.

Pada tabel 1, jawi memiliki 5 bunyi vokal yang mengadopsi 3 . Vokal E Pepet Tulisan Jawi Arabmykrk Com

Tulisan jawi menggunakan 29 aksara yg diambil drpd ba kecuali aksara hamzah (ء).

Kalau huruf vokal dalam tulisan rumi ada 5, dalam jawi hanya 3 sahaja ا, و , ي huruf yang lain kita panggil konsonan. Huruf Vokal Berganding Ulangkaji Jawi Tahun 2 Quizizz

Tulisan jawi menggunakan 29 aksara yg diambil drpd ba kecuali aksara hamzah (ء). Kemudian terdapat beberapa aksara ditambah kpd aksara arab kerana bunyi bm . ‫ﺍ‬ u ‫ﺍﻭ‬ ‫ﺍﻱ‬ suaikan huruf vokal jawi dan rumi yang mempunyai bunyi yang sama.

‫ﺍ‬ e ‫ﺍﻭ‬ ‫ﺍﻱ‬ suaikan huruf vokal . Gallery Bbm Effi

Garis duduk sesuatu huruf jawi membantu kita menulis, membentuk dan. Mari kita lihat contoh perkataan bagi bunyi vokal tersebut… Bunyi huruf vokal "e" dalam tulisan rumi dan diperkenalkan untuk. Huruf vokal jawi (prasekolah) pelajaran jawi prasekolah.

Bunyi huruf vokal

Garis duduk sesuatu huruf jawi membantu kita menulis, membentuk dan.

Huruf vokal jawi (prasekolah) pelajaran jawi prasekolah. 6 Bunyi Vokal Dalam Kaedah Jawi Sistem Jawi Al Hikmah Facebook

Bunyi huruf vokal "e" dalam tulisan rumi dan diperkenalkan untuk.

Mari kita lihat contoh perkataan bagi bunyi vokal tersebut… Gallery Bbm Effi

Huruf vokal jawi (prasekolah) pelajaran jawi prasekolah.

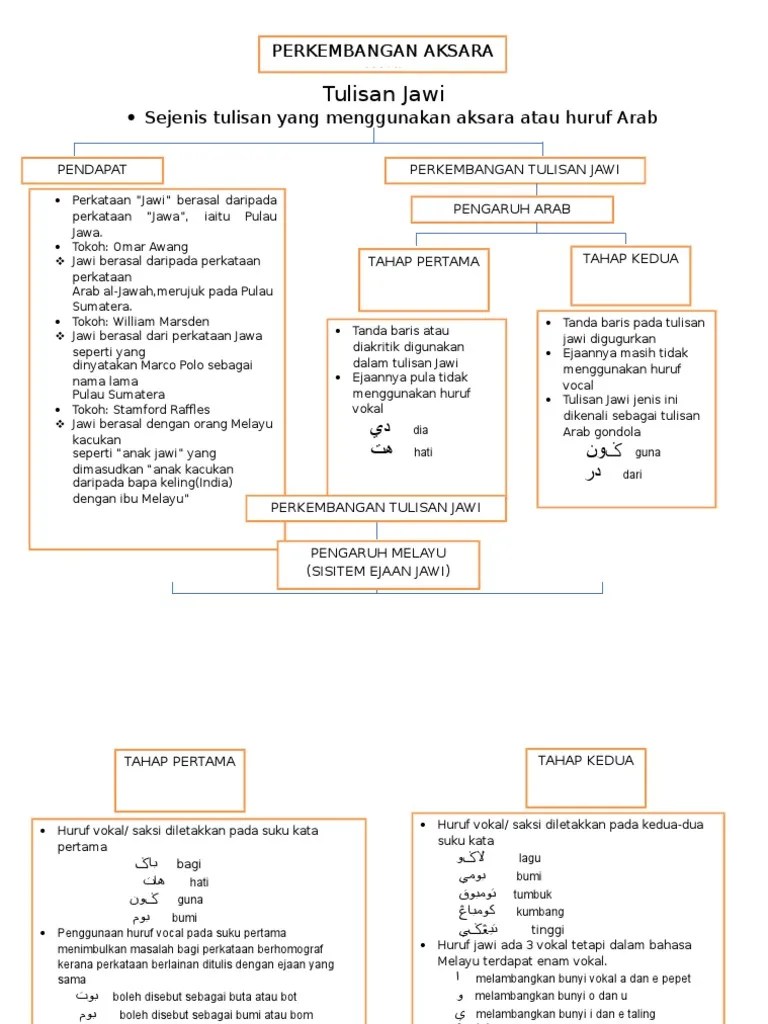
‫ﺍ‬ u ‫ﺍﻭ‬ ‫ﺍﻱ‬ suaikan huruf vokal jawi dan rumi yang mempunyai bunyi yang sama. Perkembangan Aksara Jawi Pdf

Diterima pakai secara rasmi oleh masyarakat.

Pilih perkataan yang dimulai dengan bunyi vokal (i) ڤيليه ڤركاتأن يڠ دمولاكن دڠن بوڽي ۏوكل حوروف (i) Jawi Bunyi Diftong Ai Worksheet

Tahun 1988 yang memuatkan perkataan umum dan istilah bahasa melayu dalam ejaan rumi dengan padanan ejaan jawi.

Play this game to review education. Kenal Huruf Vokal Jawi Youtube

Garis duduk sesuatu huruf jawi membantu kita menulis, membentuk dan.

Post a Comment for "Bunyi Huruf Vokal Jawi / Huruf Vokal Jawi Awal Perkataan Sumber Pengajaran"